在我们的生活和工作中,有大量的数学应用场景,一些简单的经典公式会在我们的生活中被反复验证、体现。对于经典公式的理解,能增强你的数据 sense,更能帮助你在遇到问题时,迅速找到解决思路。
这一课时我将列举四个脑洞比较大,却又妙趣横生的例子,向你展示数学与万物之间的巧妙联系。
“数学无处不在”,可能学完这一课时,你就会理解为什么说“数学是一切科学之母”了,因为万物、生活、世界的本质就是由数学组成的,或者说可以用数学去解析表达。
正好下周就是双十一了,现在的你一定在各种优惠券和促销规则中与商家斗智斗勇,下面第一个例子我就分别从买家、卖家两个视角,看看这个钱到底应该怎么算?
双十一期间,某商家的促销规则是:某笔订单消费满 200 元,可以获得 100 元的代金券,代金券可以在下次消费中使用,下次使用时的规则是,消费满 300 元,直接抵扣 100 元。
那么这样的促销活动规则,折扣率到底是多少呢?
大迷糊认为消费满 200 元获得 100 元代金券,这样折扣率应是 100÷200,就是五折。如果你也是这样认为,那么就中了商家的圈套了。
而大聪明发现为了花出去这个 100 元代金券,需要先消费满 200 元,再第二次消费满 300 元。总账算下来为,商品总价值 500 元,实际花费 400 元,也就是打八折。商家给予的优惠并没有看起来那么多,而就是这样依旧吸引了一批又一批用户“剁手”。
这个例子是以消费者的视角来计算的折扣率,我们还可以从商家的视角来分析商家的投资回报率 ROI(ROI=增量的回报/增量的投入)。一般而言,ROI 的应用场景都跟钱的投资有关,可以定义“回报”为营业额,而“投入”为代金券核销的金额。
现在我们把 ROI 的问题拓展到一个实际的业务场景。假设大漂亮是某宝增长部门的工程师,最近接手的项目是在双十一给用户投放优惠红包。红包的种类有很多,比如满 399 元减 100 元、满 299 元减 50 元、满 199 元减 20 元等等。
在做好了系统开发工作后,大漂亮在用户的维度上,上线了灰度实验。即一半用户被随机地划到了实验组,享受红包优惠;剩下的另一半用户,被划分到了对照组,不享受红包优惠。实验过后的所有数据记录如下表,围绕 GMV(营收额),帮大漂亮算一下这次双十一投放红包的 ROI 吧。
根据 ROI 的定义式很容易得到,ROI=(80万-65万)/10万=1.5。
值得一提的是,如果回报定义为实际的营收额,ROI 一般不会小于 1。因为满减红包这样的投入,是不会被白白浪费的,每一笔投入一定会转化为核销,并计算在营收额中。换句话说,你不花满满减金额,也不会核销掉这 10 元的红包。
简单总结下,如果你负责某个“资源投入换产出”模式下的项目,例如投入补贴换营业额,那么业务指标上涨是显而易见的事情。毕竟对这个系统而言,是有资源投入的。此时,最关键的指标就是资源投入与业务产出的兑换效率,也就是资源的投资回报率 ROI。你的工作方向将会是,在算账体系下的 ROI 提高或优化的工作。
讲完“钱”后,我们再讲下“人”吧。
以太阳系为例,所有行星都围绕太阳运转,这就说明太阳的引力是最大的;对于一颗流星而言,没有什么天体在围绕它运转,也就是说流星的引力非常小。你可以很形象地认为:太阳的人缘特别好,几乎所有人都围着他转;而流星似乎人缘不太好,它身边几乎没有什么朋友。
形象来看,“人缘”就是一种吸引,就好比物理学的万有引力定律一样,人缘好的人总是能形成自己的一个社交圈,被周围的人认可和关注,并形成一个个像是太阳系、银河系一样的关系网。
但万有引力定律是个物理科学概念,而“人缘”是个基于社会关系的人文概念,现在我们要从理性科学视角去看待“人缘”这一话题,我们能得到两者之间的联系吗?
首先,我们先回顾一下万有引力定律 (F=GMm/R2) 本身,再将其和“人缘”结合,对应起来看。
其中 G 是万有引力常量,M 和 m 分别为这两个物体的质量,R 是他们之间的距离。这个公式告诉我们,万有引力与质量呈正相关,与距离呈负相关。即质量越大、距离越近,引力也越大;反之亦然。
通常,优秀的人的人缘都不会太差,因为他们能给身边的人更多帮助,这就是你个人的质量 M 的体现;反过来说,你肯定也会更喜欢与你一样优秀的人做朋友,这就是你身边人的质量 m 的体现。
接着,好的人缘肯定需要去持续维系。维系的方法可以有,不定期地聚会叙旧、朋友圈的互动点赞、关于某个领域问题的讨论等等。如果长时间缺少维系,那就印证了那句俗话“有些人,走着走着就散了”,这就是你与你身边人的距离 R 体现。
可见,想要获得好的人缘,你需要做好下面几件事:
你会神奇地发现,在万有引力定律中,万有引力 F 与距离 R 是负平方的关系。也就是说,距离对引力的影响比质量要更大一些。这就像生活中决定两人关系亲疏的因素,与两人各自的标签、身份、能力 (M、m) 有关;但更重要的是距离 R,也就是两人之间的互动深度和频率。所以,在成为优秀的人的同时,希望你更能注意多跟朋友走动、沟通。
我们的生活不过就是“钱”“人”,还有工作,接下来我们从数学角度看一下你应该如何安排工作时间。
小学的时候,我们就学习过这样的公式:路程=速度×时间(S=vt)。
在匀速运动的场景下,速度 v 是个常量。时间越长,走得越远。然而在实际场景中,速度通常不是常量,而是关于时间的函数(它随着运动的时间而发生变化)。

速度 v 关于时间 t 的函数图
如上图所示,刚开始跑步,速度越来越快(红色曲线);之后,速度就会稳定在一个值(蓝色曲线);再到后来,速度就会变慢(紫色曲线)。这样在追求跑得更远时,你需要根据自己不同时期的情况,在速度与时间之间做一个平衡,甚至一个抉择。
这就像是刚刚毕业参加工作的职场小白,大漂亮,她在学习修炼(提升未来挣钱速度)和兼职挣钱(延长工作时间)之间,也需要做一个抉择。
不仅是职场小白大漂亮,某创业公司老板,大聪明,也会面临这样的抉择。这时需要先搞清楚到底哪个是影响你收入的关键因素(影响最大的),然后往这方向去投入就可以了。
我们就试着利用速度与时间公式 S=vt,来分析大漂亮和大聪明该如何支配业余时间。
如下表,假设大漂亮的日常工作月薪为 12k,每月周末兼职能挣 2k。若不兼职而去培训,一年后跳槽工资翻番,月薪达 24k,一个月薪就能抵过一年的兼职。所以技能(赚钱的速度)没有办法提高,投入再多时间去加班兼职,也是没用的。
可见,当前影响大漂亮收入的关键因素是业务技能水平。她在技能培训上投入,获得工资涨幅的空间更大。这反映出,业务技能提升对于职场小白的重要性。
大聪明是初创公司老板,自身能力非常专业,这时候他再获得技能提升已经很困难了,就像对于理科状元,数学提升 5 分都是很困难的。而大聪明更好的选择是加班,为公司直接创造营收。如下表所示,通过加班,再算上基础工作,每个月共计能为自己带来 480k 的收入。
可见影响大聪明营收的关键因素是工作时长,他在时间上的投入,会更有可能获得收入的提高。
课后作业:在这里我只列出了他们某一时间点下的收入数据表,你可以尝试着去画出他们不同方案下的“挣钱速度关于工作时长的函数图”,并找到收入 S 区域。
画出后,你会联想到中学时的不同增长函数的函数图,以及高中物理的变速直线运动问题。
接下来最后一个案例,我将向你证明“努力进步”的力量有多可怕。
公务员行测题中,常常有这样一个经典题目:
某公司的营业额以每月 5% 的速度增长,多少个月后能翻倍?
A. 14 B. 16 C. 18 D. 20
这个题的正确答案就是 A。对比他们的计算过程,大漂亮和大聪明虽然都得到了正确答案,但大漂亮的计算需要列方程,并借助计算器来求解。在行测考试平均 1 道题只有 1 分钟作答时长的高压环境下,大漂亮显然已经吃了大亏。
接下来我们从数学的角度来看一下这个问题。假设当前月的营业额为 a,既然每月增长 5%,那么第二个月(1 个月后)的营业额就是 a×(1+5%)。第三个月(2 个月后)的营业额又增长了5%就是 a×(1+5%)2。
因此,如果 n 个月后营业额翻倍为 2a,则有 a×(1+5%)n= 2a,即 (1+5%)n= 2。遇到 n 次方的幂运算,你第一时间想到取 log,这样就能得到下面更简单的表达式为 n×ln(1+5%) = ln2。
接下来有一个很奇妙的定律,也是高中数学的基础知识,如上图所示:在 x 很小时 ln(1+x)≈x。题目里的 5% 是个很小的数字,这样就可以得到 n×ln(1+5%) = n×5% = ln2,ln2 = 0.69≈ 0.70(这个是 lnx 函数常用数,可以背下来),因此n×ln(1+5%) = n×5% = ln2 = 0.70,则有 n=0.70÷5%=70÷5=14,这就是大聪明的计算公式。
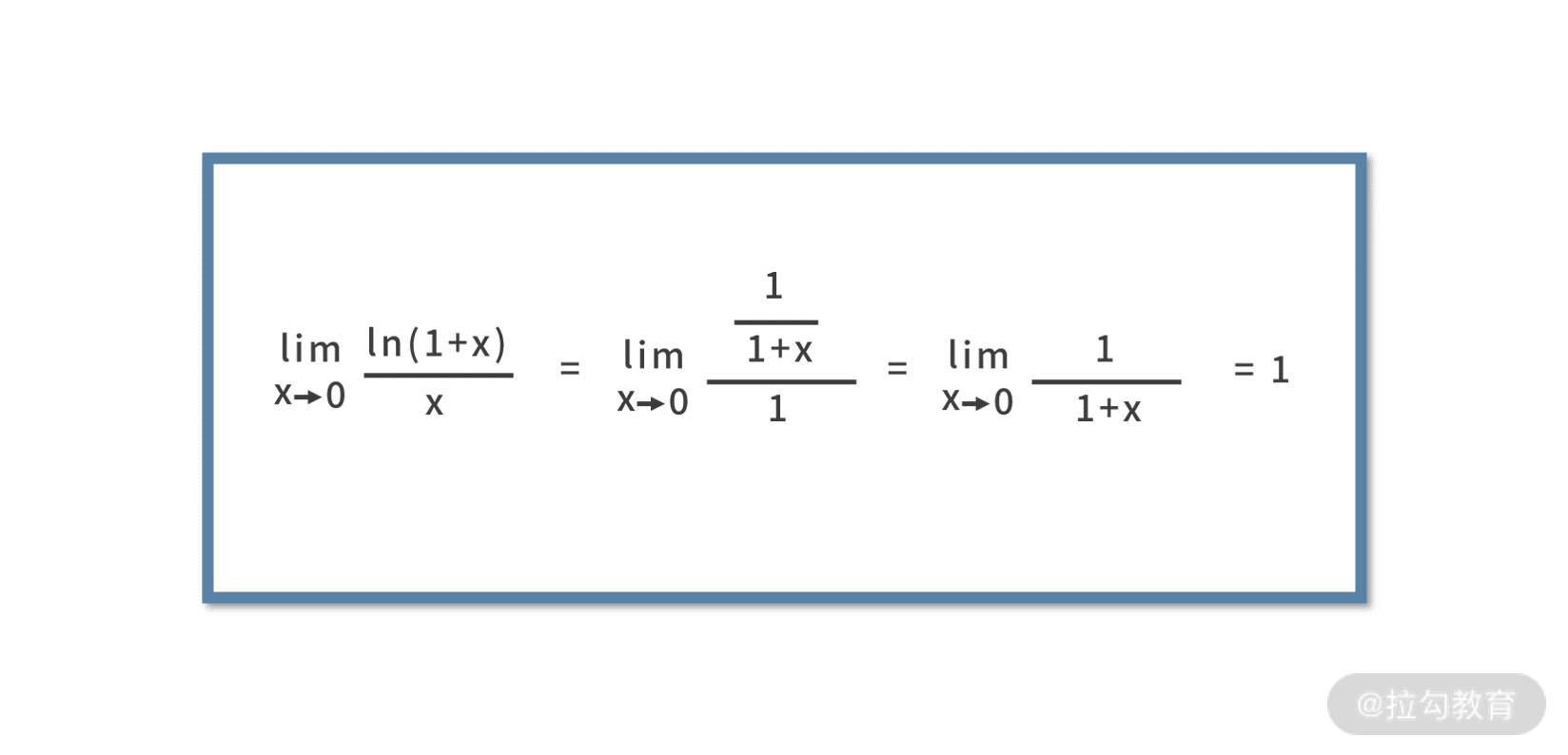
这里提到的“在 x 很小时,ln(1+x)≈x”如何证明呢?其实很简单,需要利用极限的运算和洛必达法则,这里也顺便快速带你回顾一下大学数学。
要证明两个表达式相等,也就是证明他们的比值为 1。换句话说就是在 x 很小时,ln(1+x) / x≈1
当 x = 0时,ln(1+x) = 0,显然这是个“0/0”的极限求解问题,可以采用洛必达法则来计算。
洛必达法则:对一个“0/0”的极限求解,它等于分子一阶导数除以分母一阶导数的极限。
这里分子的一阶导数如下图所示:

分母的一阶导数如下图所示:

根据洛必达法则,原极限计算的结果如下图所示:
这个题目,我们可以命名为翻倍问题。利用大聪明的计算公式,我们得到结论:对于每年增长 x% 的翻倍问题,70/x 的单位时间后,可以实现翻倍。
这个题目的结论可以增强你对数据的敏感度,例如如何根据业务现状制定出合理的年度目标,如何对市场未来的发展作出一些趋势性判断等等。
将这个道理对应到生活中,就像这道行测题,假设每天你在某领域就进步 5%,两个星期后你在这方面的积累就能翻倍,所以可见“进步”的力量;反之,每天你即使只退步了一点点,一小段时间后你就会质变,退步一大截。
所以就从现在开始吧,每天都到拉勾教育收获一个知识点,长期后便能实现蜕变。
这一讲,我们既是在讲数学,也是在讲生活。我们先后讲到了,要学会利用万有引力定律去建立属于自己的人脉圈,要学会围绕 ROI 去计算每一笔投入的回报,要通过公式化的方式去分配自己的时间投入,要提高自己的数据 sense。
确实生活中没有人会用高数公式去买菜,或者像吝啬鬼一样严密计算每笔支出的回报情况。但还是那句话,有了数学,你的思维一定会更活跃,做事思路也会更清晰。
就像生活中没有人会用唐诗宋词去对话,或者看到美景就去剖析美学和色彩学理论。但当你有了这些素养时,你看待生活的视角一定会更加丰富、智慧。
最后希望数学也能伴随你的生活,将数学融入你的思维中,去发现万事万物背后的数学奥秘,这也是这一课时想告诉你的“万物可数学”的道理。
© 2019 - 2023 Liangliang Lee. Powered by gin and hexo-theme-book.