软件工程是多人合作的结果,我们在开发软件的时候经常会使用一些别人编写好的,比较成熟的库。
比如,早期的前端开发用到了 jQuery 库,那么通常的做法是去官网下载一个最新版本的 jQuery,然后放在自己本地的项目中。对于简单的前端项目来说,这样可以简单粗暴地达到目的。
但当项目越来越庞大,除了 jQuery 之外,你还会依赖一些其他的第三方库。比如 Bootstrap 与 Chosen,这两个流行的前端库也都依赖 jQuery,如果这些第三方库依赖的jQuery 版本一致还好,但大多数情况并没有这么乐观:
你的项目依赖的 jQuery 版本是 1.0.0 ,Bootstrap 依赖的版本是 1.1.0,而 Chosen 依赖的版本是 1.2.0,看上去都是小版本不一致,一开始并没有发现任何问题,但是如果到后期发现不兼容,可能就为时已晚了。
所以,你需要在确定依赖之前,就把整个系统的依赖全部梳理一遍,保证每个依赖都不会有冲突问题。
你可能会质疑,这个前端工程师一定是初级的,事先都不会确认 Bootstrap 和 Chosen 依赖的版本吗,直接选择依赖 jQuery 1.0.0 版本的不就行了?
这么说有一定道理,但是手工维护这些依赖是相当麻烦且容易出错的。随便找一个比较流行的开源软件,你都会发现它依赖了大量的第三方库,而这些第三方库又依赖着其他的第三方库,形成了一条十分复杂的依赖链。靠人工去解决这个依赖链一定会让你怀疑人生,因此你需要一些工具去管理项目的依赖。
其实,各大平台早已有一套自己的手段来解决上述的问题,仔细看看你常用的软件,你会发现其实工作当中已经充斥着各种各样的依赖管理工具,没有它们你将寸步难行。
操作系统的依赖管理工具,比如CentOS 的 yum,Debian 的 apt,Arch 的 Packman,macOS 的 Homebrew;- 编程语言的依赖管理工具,比如Java 的 Maven, .Net 的 nuget,Node.js 的 npm,Golang 的 go get,Python 的 pip,Ruby 的 Gem 。
这些平台的解决思路都是将依赖放到共同的仓库,然后管理工具通过依赖描述文件去中央仓库获取相应的包。
一个典型的依赖管理工具通常会有以下几个特性:
统一的命名规则,也可以说是坐标,在仓库中是唯一的,可以被准确定位到;
统一的中心仓库可以存储管理依赖和元数据;
统一的依赖配置描述文件;
本地使用的客户端可以解析上述的文件以及拉取所需的依赖。
接下来我以 Maven 为例,跟你一起探究一下 Maven 会如何管理 Java 项目的依赖。
Maven 是 Java生态系统里面一款非常强大的构建工具,其中一项非常重要的工作就是对项目依赖进行管理。
Maven 使用 XML格式的文件进行依赖配置描述的方式,叫作 POM(Project Object Model ),以下就是一段简单的 pom.xml 文件片段:

在POM中,根元素 project 下的 dependencies 可以包含一个或多个 dependency 元素,以声明一个或者多个项目依赖。每个依赖可以包含的元素有:
groupId、artifactId、version: 依赖的基本坐标;
type: 依赖的类型,默认为jar;
scope: 依赖的范围;
optional: 标记依赖是否可选;
exclusions: 用来排除传递性依赖;
要想用好Maven管理依赖,你必须理解每一项的含义,而新手通常傻傻分不清楚。举个例子,依赖范围这一项,Maven 在不同的时期会使用不同的 classpath :
包管理工具还解决了依赖传递的问题,比如你的项目 A 依赖了 B,而 B 依赖了 C和D,那么在获取依赖的时候会把 B、C、D 都一起拉下来,这样可以节省大量的时间。
再让我们回到最开始的问题:依赖不一致该如何处理?通常,每个包管理工具都有一套自己的原则,Maven 的依赖仲裁原则如下。
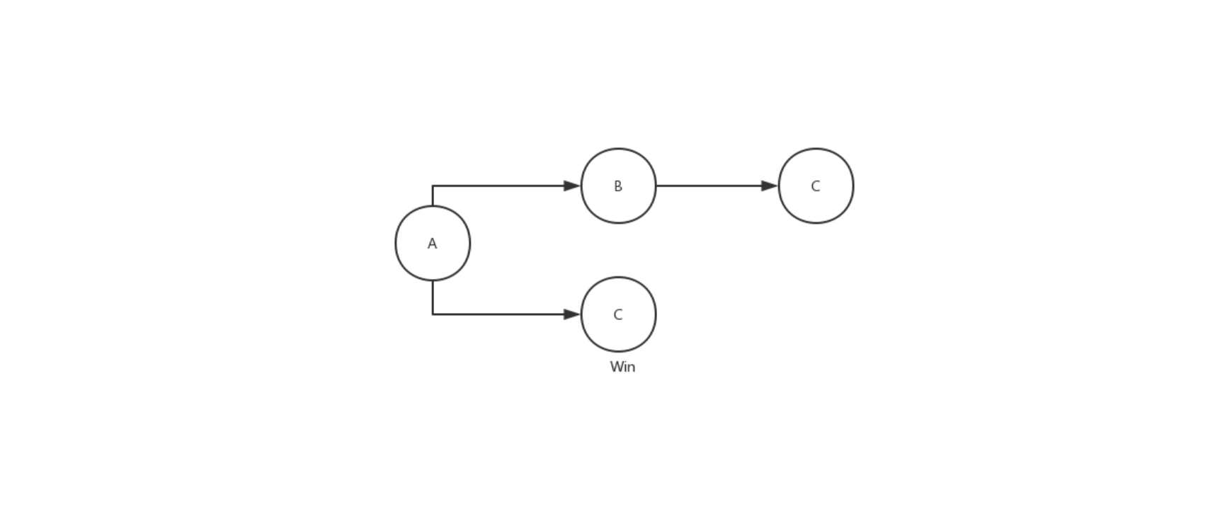
第一原则: 最短路径优先原则。 比如,A 依赖了 B和C,而 B 也依赖了 C,那么 Maven 会使用 A 依赖的 C 的版本,因为它的路径是最短的。

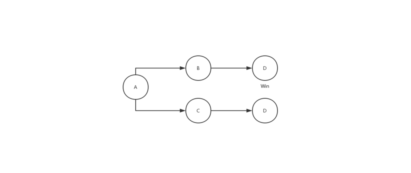
第二原则: 第一声明优先原则。 比如,A 依赖了 B和C,B 和 C 分别依赖了 D,那么 Maven 会使用 B 依赖的 D 的版本,因为它是最先声明的。

根据这两个原则,Maven 就可以确定一个项目所有依赖的列表,但它处理依赖的方式还是有些简单粗暴。有时 Maven 的决定结果并不是你想要的,所以我们在使用 Maven 的时候还是要多加小心。
接下来,我跟你分享下,我平时使用Maven 时总结的一些经验。
生产环境尽量不使用 SNAPSHOT 或者是带有范围的依赖版本,可以减少上线后的不确定性,我们必须保证,测试环境的包和生产环境是一致的。
将 POM分成多个层次的继承关系,比如携程的POM继承树一般是这样:
corp pom
ctrip pom/qunar pom
bu pom
product pom
project parent pom
project sub module pom
这样做的好处是每一层都可以定义这一级别的依赖。- 其中 ctrip pom/qunar pom 我们叫它为公司的 super-pom,每个项目必须直接或间接的继承其所在公司的 super-pom。这样做的好处是每一层都可以定义这一级别的依赖,便于各个层次的统一管理。
在父模块多使用 dependencyManagement 来定义依赖,子模块在使用该依赖时,就可以不用指定依赖的版本,这样做可以使多个子模块的依赖版本高度统一,同时还能简化子模块配置。
对于一组依赖的控制,可以使用BOM(Bill of Materials) 进行版本定义。一般情况下,框架部门有一个统一的BOM 来管理公共组件的版本,当用户引用了该BOM后,在使用框架提供的组件时无需指定版本。即使使用了多个组件,也不会有版本冲突的问题,因为框架部门的专家们已经在BOM中为各个组件配置了经过测试的稳定版本。- BOM是一个非常有用的工具,因为面对大量依赖时,作为用户你不知道具体应该使用它们的哪些版本、这些版本之间是否有相互依赖、相互依赖是否有冲突,使用BOM 就可以让用户规避这些细节问题了。
对于版本相同的依赖使用 properties 定义,可以大大减少重复劳动,且易于改动。上面的 pom.xml 片段,就是使用了 properties 来定义两个一样的版本号的依赖。
不要在在线编译环境中使用 mvn install 命令,否则会埋下很多意想不到并且非常难以排查的坑:该命令会将同项目中编译产生的jar包缓存在编译系统本地,覆盖mvn仓库中真正应该被引用的jar包。
禁止变更了代码不改版本号就上传到中央仓库的行为。否则,会覆盖原有版本,使得一个版本出现二义性的问题。
归根结底,这些经验都是为了两件事:减少重复的配置代码,以及减少不确定的因素发生。
有时候,你会听到来自业务开发部门同事传来报障的声音:“为什么我本地可以编译通过,而你们编译系统编译通不过?”难道 Maven 在工作的时候还看脸? 当然不是!
遇到这样的情况不要急,处理起来通常有如下“三板斧”:
确认开发操作系统,Java 版本,Maven 版本。通常情况下操作系统对 Java 编译的影响是最小的,但是偶尔也会遇到一些比如分隔符(冒号与分号)之类的问题。Java 和 Maven 的版本应尽量与生产编译系统保持一致,以减少不必要的麻烦。
如果确认了开发操作系统没问题,那么你可以把用户的项目拉到自己的本地,并且删除本地依赖的缓存,也就是删除 .m2 目录下的子目录,减少干扰,执行编译。若编译通不过,说明用户本地就有问题,让他也删掉自己本地的缓存找问题。如果可以编译通过,说明问题出在编译系统,进入第3步。
使用 mvn dependency 命令对比生产编译系统与本地依赖树的区别,检查编译系统本地是否被缓存了错误的 jar 包,从而导致了编译失败。有时候这种错误会隐藏得比较深,非常难查,需要很大的耐心。
今天,我跟你聊了聊依赖的问题。你可以从中:
了解到依赖管理的复杂度是如何产生的;
学习到依赖管理的一些常规思路;
初步掌握通过Maven进行依赖管理的方式方法,及一些最佳实践。
同时我也与你一起分享了一些我的实际经验,希望能够对你在实际工作中有所帮助。
理想是美好的,然而现实却很骨感,在实际过程中我们也遇到了一些问题,比如用户不遵守我们推荐的命名规则,或者不继承公司提供的 Super POM,或者框架组件升级而用户不愿意升级等等。
为了能够统一管理,我们在构建系统上增加了一些强制手段来做统一的约束,使用 Maven Enforcer 插件以及其他方式对构建过程实行大量检查,欲知详情,请听下回分解。
你可以对比一下 Maven 其他语言的依赖管理工具,如 npm、pip、gem 等等,看看它们各自都有什么样的优缺点。
欢迎你给我留言。
© 2019 - 2023 Liangliang Lee. Powered by gin and hexo-theme-book.